靜電吸盤--又稱靜電卡盤,是半導體工藝中的硅片夾持工具,被廣泛用于PVD、CVD、ETCH等制程部門。在一些制程的process過程中需要固定wafer,并且維持wafer 背面壓力的恒定。
早期使用機械夾持的方式,但是傳統的用爪子固定的方法不僅很可能會劃傷晶圓,對特定部位施加強力可能會導致wafer碎裂,并且存在 wafer edge 不均一,chucking/dechucking 時機械運動引起particle 等問題。另外,如果采用真空吸附,則無法采用像吸盤那樣減壓吸附的方法。

為了解決這些缺點,發明了使用靜電吸附的方式,ESC- Electrostatic Chuck。ESC 利用電容兩帶電極板的庫倫引力來固定wafer,這樣wafer topside 無接觸的chuck方式解決了機械卡盤和真空吸附的各種問題。
其優點:1.Wafer 表面無機械夾持;2. 可以調節wafer 的溫度,改善均一性;3. 可以減少 wafer edge exclusion。

圖源:小叮當
基本原理:
靜電吸盤吸引力一般涉及三種吸附原理(庫侖力、約翰遜-拉貝克力,梯度力)但在實際生產過程中并不總是只有一種力在起作用,而是多種力結合起來產生吸引物體的力。
ESC 主要利用電容兩電極板的庫倫吸引原理制成,表面涂有絕緣層的ESC的主體部分為電容一側電極, wafer 為電容的另一側電極。庫倫引力要大于wafer 背面用來降溫的 He Flow 的的壓力。

圖源:Tom聊芯片智造
ESC種類:Unipolar Type(單極型靜電吸盤)& Bipolar Type(雙極型靜電吸盤)
一、單極型靜電吸盤:wafer從plasma中獲取電荷,電極通電產生異向電荷,從而產生吸附。

單極型靜電吸盤
Chucking force:

F: 兩電極間的庫倫引力;
ε: 絕緣層的介電常數;
V: 兩電極附加的電壓;
D: 兩極板間的距離;
P: 表面電荷密度;
E: 電場強度;
C: 電容量;
Q: 總電荷量。
由公式可以推算出,想增加chucking force, 可以:
1. 增加電壓;
2. 減小絕緣層厚度;
3. 使用介電常數高的絕緣材料;
4. 增加wafer size;
但是實際上wafer 的尺寸一般來說是固定的6吋,8吋或者12吋,而且絕緣層的厚度也不能無限減小,所以經常以增大電壓和使用介電常數更高的材料來增加chucking force。
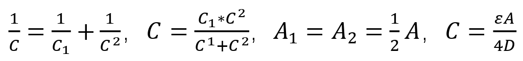
二、雙極型靜電吸盤,電源正負極均接在電極上,wafer在內部被極化,能夠在沒有plasma情況下被吸附;

雙極型靜電吸盤
Chucking force:
在雙極型下:

所以,chucking Force 是單極型的1/4:

F: 兩電極間的庫倫引力;
ε: 絕緣層的介電常數;
V: 兩電極附加的電壓;
D: 兩極板間的距離;
P: 表面電荷密度;
E: 電場強度;
C: 電容量;
Q: 總電荷量。
ESC材料: 分為庫倫型靜電吸盤和迥斯熱背型(Johnson-Rahbek)
庫倫型:純電介質做成的吸盤,吸附力較小,電極需要高電壓,約3000~4000V;
JR型: 摻雜電介質做成的吸盤,略帶導體性質。電極上施加電壓時,電荷能夠集中在表面附近,電極間的距離小,吸附力大,所需的電壓較小,約500~800V。
通常來說,JR型吸盤的吸力比庫侖類的大,所以在對wafer溫度控制要求很高的Etch機臺中,越來越多地采用迥JR型吸盤,其電介質通常是參雜的氮化鋁陶瓷材料,氮化鋁有很好的導熱性。

庫倫型

JR型
ESC結構:

圖源:海拓創新


公 司:玖研科技(上海)有限公司
聯系人:薛先生
電話:021-50938513
手機:15618825317
E-mail:jason@grindtechcorp.com.cn
地 址:上海市浦東新區鑫橋創意產業園銀山路183號